Interview:算法岗位面试—BAT公司问题面试之计算机基础(进程与线程的区别)、经典概率问题等集锦
目录
计算机基础问题
1、进程与线程的区别
概率问题
1、貂蝉与西施回头率比美问题
计算机基础问题 1、进程与线程的区别进程:进程(Process)是计算机中的程序关于某数据集合上的一次运行活动,是系统进行资源分配和调度的基本单位,是操作系统结构的基础。
线程:线程(thread)是操作系统能够进行运算调度的最小单位。它被包含在进程之中,是进程中的实际运作单位。
一、进程与线程五大区别——进程是线程的boss
1、根本区别—进程管资源、线程管执行:进程是操作系统资源分配的基本单位,而线程是任务调度和执行的基本单位。进程是资源分配最小单位;线程是程序执行的最小单位。2、内存分配—进程拥有独立的地址空间——进程是线程的上司,进程拥有独立办公室:进程有自己独立的地址空间,每启动一个进程,系统都会为其分配地址空间,建立数据表来维护代码段、堆栈段和数据段;线程没有独立的地址空间,它使用相同的地址空间共享数据。 (1)、系统在运行的时候会为每个进程分配不同的内存空间;而对线程而言,除了CPU外,系统不会为线程分配内存(线程所使用的资源来自其所属进程的资源),线程组之间只能共享资源。 (2)、多进程程序更安全,生命力更强,一个进程死掉不会对另一个进程造成影响(源于有独立的地址空间);多线程程序更不易维护,一个线程死掉,整个进程就死掉了(因为共享地址空间)。3、资源开销—进程比线程开销大、线程可频繁切换——进程能住希尔顿而线程只能住如家:线程花费小、开销小、效率高,CPU切换一个线程比切换进程花费小;创建一个线程比进程开销小;线程占用的资源要⽐进程少很多。进程对资源保护要求高,开销大,效率相对较低,线程资源保护要求不高,但开销小,效率高,可频繁切换。4、内部通信—线程通信更方便、进程间通信需IPC——进程住高楼大厦通信需要电话:线程之间通信更方便,但多线程程序处理好同步与互斥是个难点;同一个进程下,线程共享全局变量,静态变量等数据,进程之间的通信需要以通信的方式(IPC)进行。 (1)、进程间通信IPC,线程间可以直接读写进程数据段(如全局变量)来进行通信——需要进程同步和互斥手段的辅助,以保证数据的一致性。5、资源开销—线程可以看做轻量级的进程——进程减肥后就能瘦成线程:每个进程都有独立的代码和数据空间(程序上下文),程序之间的切换会有较大的开销;线程可以看做轻量级的进程,同一类线程共享代码和数据空间,每个线程都有自己独立的运行栈和程序计数器(PC),线程之间切换的开销小。 (1)、没有线程的进程可以看做是单线程的,如果一个进程内有多个线程,则执行过程不是一条线的,而是多条线(线程)共同完成的;线程是进程的一部分,所以线程也被称为轻权进程或者轻量级进程。6、 环境运行—线程是进程的一部分、进程可有多个线程——进程位高权重拥有更多选择权:一个线程只能属于一个进程,而一个进程可以有多个线程,但至少有一个线程。在操作系统中能同时运行多个进程(程序);而在同一个进程(程序)中有多个线程同时执行(通过CPU调度,在每个时间片中只有一个线程执行)。
概率问题 1、貂蝉与西施回头率比美问题结论1:貂蝉获胜的概率是0.5,但并不是指貂蝉、西施获胜的概率相等,即貂蝉获胜的概率有可能是90%。 结论2:其实P(C)是接近于0即没有用处的 结论3:如果有超过50%概率(比如60%)获胜,那么尽量多进行一场比赛(前边几场随机性比较强,比赛越多,越接近概率60%) (1)、问题描述以及分析
(2)、代码模拟验证(10万次)实现,得到0.50335
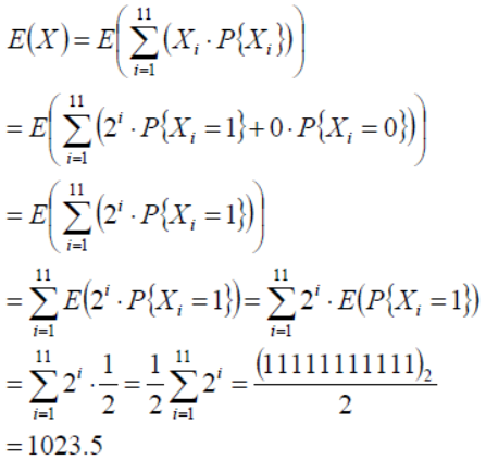
2、从1,2,3,......,98,99,2015这100个数中任意选择若干个数(可能为0个数)求异或,试求异或的期望值。 解:计算每一位的期望。针对任何一个二进制位:取奇数个1异或后会得到1,取偶数个1异或后会得到0;与取0的个数无关。 给定的最大数2015=(11111011111)2,共11位。针对每一位分别计算,考虑第 i 位Xi,假定给定的100个数中第 i 位一共有N个1,M个0,某次采样取到的1的个数为k。则有
(1)、11位二进制数中,每个位取1的期望都是0.5
(2)、采样模拟
