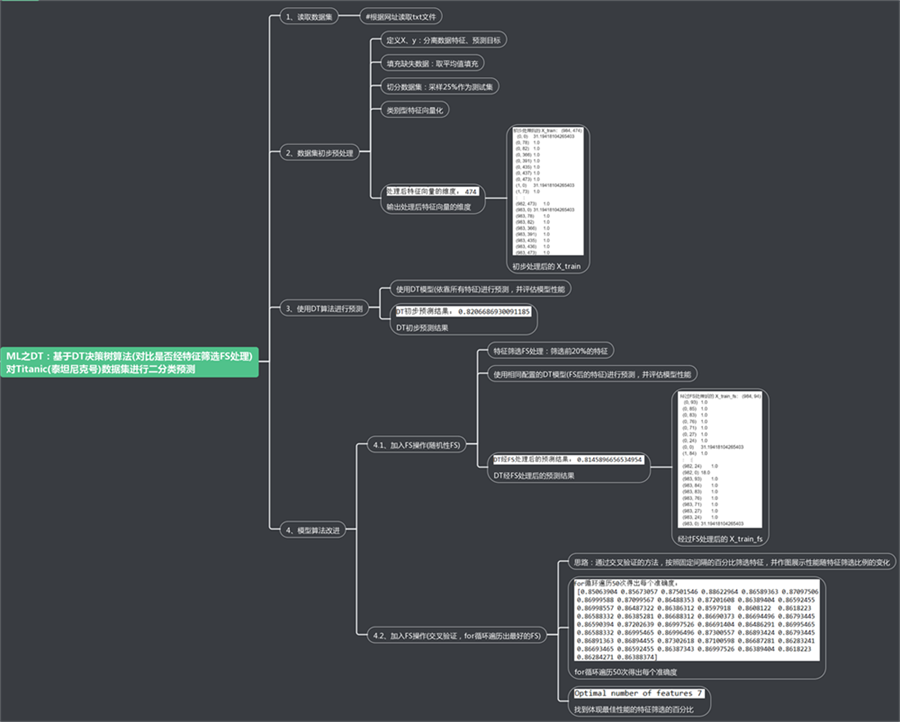
ML之DT:基于DT决策树算法(交叉验证FS+for遍历最佳FS)对Titanic(泰坦尼克号)数据集进行二分类预测
目录
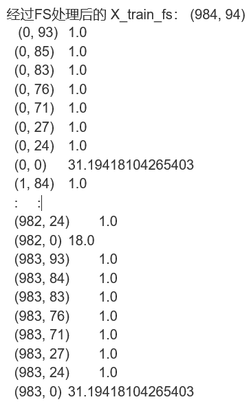
输出结果
设计思路
核心代码
输出结果
设计思路
核心代码
fs = feature_selection.SelectPercentile(feature_selection.chi2, percentile = i)
X_train_fs = fs.fit_transform(X_train, y_train)
scores = cross_val_score(dt, X_train_fs, y_train, cv=5)class SelectPercentile(_BaseFilter):
    """Select features according to a percentile of the highest scores.
    
    Read more in the :ref:`User Guide `.
    
    Parameters
    ----------
    score_func : callable
    Function taking two arrays X and y, and returning a pair of arrays
    (scores, pvalues) or a single array with scores.
    Default is f_classif (see below "See also"). The default function only
    works with classification tasks.
    
    percentile : int, optional, default=10
    Percent of features to keep.
    
    Attributes
    ----------
    scores_ : array-like, shape=(n_features,)
    Scores of features.
    
    pvalues_ : array-like, shape=(n_features,)
    p-values of feature scores, None if `score_func` returned only scores.
    
    Notes
    -----
    Ties between features with equal scores will be broken in an unspecified
    way.
    
    See also
    --------
    f_classif: ANOVA F-value between label/feature for classification tasks.
    mutual_info_classif: Mutual information for a discrete target.
    chi2: Chi-squared stats of non-negative features for classification tasks.
    f_regression: F-value between label/feature for regression tasks.
    mutual_info_regression: Mutual information for a continuous target.
    SelectKBest: Select features based on the k highest scores.
    SelectFpr: Select features based on a false positive rate test.
    SelectFdr: Select features based on an estimated false discovery rate.
    SelectFwe: Select features based on family-wise error rate.
    GenericUnivariateSelect: Univariate feature selector with configurable mode.
    """
    def __init__(self, score_func=f_classif, percentile=10):
        super(SelectPercentile, self).__init__(score_func)
        self.percentile = percentile
    
    def _check_params(self, X, y):
        if not 0  treshold
        ties = np.where(scores == treshold)[0]
        if len(ties):
            max_feats = int(len(scores) * self.percentile / 100)
            kept_ties = ties[:max_feats - mask.sum()]
            mask[kept_ties] = True
        return mask

 
                 
    